晶振官方博客
更多>>壓電石英晶體的發現給人類帶來什么好處?
壓電石英晶體的發現給人類帶來了什么樣的好處?自從80年人類發現了壓電效應到現在,壓電石英晶體從原始的水晶
演變成目前的各款型石英晶體元件,器件,應用范圍也隨著科技的發展在變化,從最初DIP款型到現在的SMD型,品種發生
了翻天覆地的變化,也始品種產生了多元化,從最初只是應用在航空系統,軍事雷達,直到現在民用的普及,比如家用電腦
智能手機等電子數碼產品。
壓電效應在歷史上最早是居里與皮埃爾·居里于1880年發現,第一次使用是在第一次世界
大戰中,開始是使用在聲納上,后被應用到電話實驗,在到雷達探測等軍事用途。
石英晶體的振蕩模式以及工作原理[編輯]
貼片晶振是指其中的原子、分子、或離子以規則、重復的模式朝各方向延伸的一種固體。
晶體與幾乎所有的彈性物質都具有自然共振頻率,透過適當的傳感器可加以利用。例如鋼
鐵具有良好彈性、音速快,在石英晶體大量應用以前,鋼鐵被用作機械式濾波器。 共振頻
率取決于晶體的尺寸、形狀、彈性、與物質內的音速。 高頻用的晶體通常是切成簡單的形
狀,如方形片狀。 典型的低頻用晶體則常切成音叉形,例如手表用的那種。 如不需要太
高的精確度,則也可以使用陶瓷諧振器取代石英晶體諧振器。
.jpg)
0
運用石英晶振上的電極對一顆被適當切割并安置的石英晶體施以電場時,晶體會產生變形
。這就是壓電效應。當外加電場移除時,石英晶體會恢復原狀并發出電場,因而在電極上
產生電壓。這樣的特性造成石英晶體在電路中的行為,類似于某種電感器、電容器、與電
阻器所組合成的RLC電路。組合中的電感電容諧振頻率則反映了石英晶體的實體共振頻率。
石英晶體諧振器的優點是在溫度變化時,影響震蕩頻率的彈性系數與尺寸變化輕微,因而在頻率
特性上表現穩定。共振的特性還取決于振動模式與石英的切割角度(相對于晶軸而言),目
前常用的是 AT 切割,它的振蕩是厚度剪切(thickness shear)振蕩模式。 此外,在需要
高精密度與穩定性的嚴格場合,石英晶體會放置于恒溫箱(Crystal oven)與吸振容器內,
以防止外部溫度與震動的干擾。
石英晶體的電路符號與等效電路:
電氣模型[編輯]:
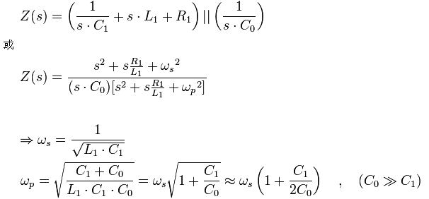
在電氣網絡中,貼片石英晶振與石英晶體可以轉換成一組 RLC 等效電路,以利分析。 這一電路模型有兩
個頻率接近但特性不同的共振點:低阻抗的串聯共振點與高阻抗的并聯共振點。 運用拉普拉斯轉換,該等效電路網絡的阻抗可以寫成以下數學式:
或
相關資訊
- [2025-06-24]Greenray插件YH1300恒溫晶振OCXO的輸出...
- [2024-03-14]RTV119系列性能超強的溫補晶振由安德森...
- [2024-03-14]IQD最新推出IQXC-26系列體積超小耐輻射...
- [2024-03-12]Pletronics晶振最新推出的OSN4系列恒溫...
- [2024-03-08]回顧Bliley晶振八十多年的歷史進程
- [2024-03-08]Bliley如何測量并減少晶振老化帶來的影...
- [2024-03-07]Crystek行業標桿壓控晶振CVCO33BE-2352...
- [2023-09-28]遙遙領先的GEYER晶振跟大家一起探討尺寸...
- [2023-09-26]領先全球的HELE晶振帶你了解從原始石英...
- [2023-09-23]領先全球的Renesas Electronics Corpor...
- [2023-09-21]遙遙領先的Skyworks電子晶振有助于加快...
- [2023-09-19]關于遙遙領先的Skyworks Electronics公...


銷售代表
售后服務