晶振官方博客
更多>>康華爾電子詳解石英晶振頻率和負載電容的相關知識
來源:http://www.spinfm.net 作者:康華爾電子 2018年09月26
石英晶振是每個電子產品的必需品,在電子產品中具有“舉足輕重”的地位,沒有了晶振的支持就相當于是沒有“心臟”的人,由此可見晶振在電子產品中的重要性,雖說晶振的是必需品,但不同的產品要選擇與其相符合的晶振元件才能的讓產品發揮到最高性能的.為此未來能讓工程設計更好的選擇相符產品,康華爾電子為廣大用戶的提供相關技術支持.
振蕩頻率和負載電容
振蕩頻率和負載電容
這里,當從貼片晶振的端部觀察振蕩側時,電容CL是有效電容,通常稱為負載電容,并且-Rand-p是振蕩側的負電阻。
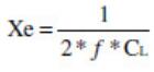
在這種振蕩電路中,石英諧振器作為感抗Xe和電阻Re的串聯電路工作,如圖6所示,其振蕩頻率由下式表示:
.jpg)
.jpg)
在(a)和Rps的情況下,啟動振蕩的條件是“Rec”y5A/Lin(b)的情況,其中Re是sernes諧振電阻等效串聯Rp是石英諧振器和電容CL的并聯電路的并聯諧振電阻(等效并聯電阻)
為了在考慮四分之一諧振器低激勵水平下等效電阻的增加的同時具有一定的振蕩,電路的負電阻( - R )必須比Re大得多。
因此,振蕩頻率由石英諧振器的電等效常數和振蕩側的負載電容決定,而與石英晶體振蕩器電路的配置無關(工作溫度和驅動電平將分別指定),因此振蕩電路的負載電容必須在制造或使用時明確定義。石英諧振器的等效電路和串聯負載電容CL如圖7所示,此時的常數如下:
.jpg)
.jpg)
此時的振蕩頻率增加了f,我們有:
.jpg)
.jpg)
其中是來自串聯諧振頻率fo的二分之一。這個等式的重新排列將產生以下等式:
.jpg)
.jpg)
在CO/Ct被稱為電容比的情況下,電容比用作了解由于負載電容的變化而引起的振蕩頻率變化量的大小的參考。
正在載入評論數據...
相關資訊
- [2023-07-12]如何為6G微處理器選擇晶體FO5SLCBF125....
- [2023-06-28]精工6G晶振物料SMD32.768kHz石英晶體電...
- [2020-07-10]石英晶體等效串聯電阻,振蕩模式原理與公...
- [2020-06-16]從歷史角度闡述振蕩器與連接器的封裝尺...
- [2019-12-14]SITIME品牌車用晶體振蕩器AEC-Q100系列...
- [2019-12-04]KVG新型100MHz高頻OCXO晶振具有極低的噪...
- [2019-08-29]如何全面了解TCXO晶振?看這篇文章就夠...
- [2019-08-24]Oscillator閃爍噪聲發生器
- [2019-08-13]超微型愛普生FA1210AN貼片晶振產品介紹...
- [2019-08-07]TAITIEN泰藝無源MHz石英晶體料號查詢
- [2019-07-22]Wenzel Crystal品牌的創業歷史
- [2019-06-29]看看NDK公司新推出的5G晶振有什么神奇之...


.jpg)
.jpg)
.jpg)
銷售代表
售后服務